Đề thi tuyển sinh lớp 10 môn Toán 2021 Quảng Nam
Đề thi tuyển sinh lớp 10 môn Toán 2021 Quảng Nam – Ngày hôm nay 3/6 các học sinh thi chuyên Quảng Nam đã chính thức bước vào kỳ thi vào lớp 10 năm 2021. Sau đây là Đáp án đề thi tuyển sinh lớp 10 môn Toán Quảng Nam 2021 khối trường chuyên, mời các bạn cùng tham khảo.
1. Đề thi tuyển sinh lớp 10 môn Toán 2021 Quảng Nam

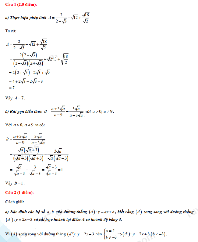
2. Đáp án đề thi vào lớp 10 Toán tỉnh Quảng Nam 2021




Mời các bạn tham khảo thêm các thông tin hữu ích khác trên chuyên mục Tài liệu của Thiquocgia.vn.

Để lại một bình luận